Мерседес спринтер размеры коленвала являются важным параметром, который определяет работу двигателя и его характеристики. Коленвал является одной из главных деталей в двигателе, отвечающей за преобразование поступательного движения поршня во вращательное движение.
В следующих разделах статьи мы рассмотрим основные особенности и размеры коленвала у Мерседес спринтер, а также его влияние на работу двигателя. Мы расскажем о том, как правильно выбрать коленвал для вашего автомобиля, учитывая его модель и спецификации. Также мы рассмотрим важные аспекты технического обслуживания и замены коленвала, чтобы ваш автомобиль всегда оставался в отличном состоянии и обеспечивал максимальную производительность.

Общая информация о Мерседес спринтер
Мерседес Спринтер — это коммерческий автомобиль, производимый немецкой компанией Mercedes-Benz с 1995 года. Он представляет собой фургон или мини-автобус, который используется для перевозки грузов или пассажиров.
Мерседес Спринтер известен своей надежностью, прочностью и комфортом. Он широко используется в различных отраслях, таких как доставка, строительство, туризм и многое другое. Спринтер предлагает различные модели, включая грузовые фургоны, микроавтобусы и шасси с кабиной.
Основные характеристики Мерседес Спринтер:
- Размеры: Мерседес Спринтер предлагается в различных конфигурациях, включая разные длины и высоты. Размеры зависят от модели и предназначения автомобиля. Например, грузовые фургоны могут иметь длину от 5,24 до 7,37 метров, высоту от 2,33 до 2,79 метров и ширину от 1,99 до 2,43 метров.
- Грузоподъемность: Мерседес Спринтер может перевозить значительные грузы. Грузоподъемность зависит от модели и варьируется от 855 до 3 070 килограммов.
- Двигатель: Мерседес Спринтер оснащен различными двигателями, включая дизельные и бензиновые варианты. Мощность двигателя и его характеристики также зависят от модели.
- Трансмиссия: Мерседес Спринтер может быть оснащен механической или автоматической трансмиссией. Варианты трансмиссии также зависят от модели автомобиля.
- Комфорт и безопасность: Мерседес Спринтер предлагает широкий спектр опций для повышения комфорта и безопасности. Это может включать системы климат-контроля, навигацию, мультимедийные системы, адаптивный круиз-контроль и многое другое.
Мерседес Спринтер — это надежный и многофункциональный автомобиль, который может быть настроен под различные потребности. Он предлагает комфорт и безопасность, а также большую грузоподъемность. Если вам нужен надежный автомобиль для коммерческой деятельности, Мерседес Спринтер может быть отличным выбором.
Mercedes Sprinter OM651 или Как НЕ НАДО ремонтировать постели коленвала
История создания и особенности модели
Мерседес Спринтер – это коммерческий фургон, который выпускается немецкой компанией Mercedes-Benz с 1995 года. Этот автомобиль был разработан с учетом потребностей предпринимателей и представляет собой идеальное сочетание грузового пространства, комфорта и надежности.
Первое поколение Мерседес Спринтер было представлено в 1995 году и было доступно в нескольких вариантах кузова, включая пассажирский фургон, грузовик и мини-автобус. Автомобиль был оснащен различными двигателями, включая дизельные и бензиновые варианты, а также различные опции передвижения – задний привод или полный привод.
Второе поколение Мерседес Спринтер появилось в 2006 году и получило ряд значительных изменений. Автомобиль стал более современным и эргономичным, с улучшенной аэродинамикой и новыми двигателями, которые отличались большей мощностью и экономичностью. Второе поколение также предлагало больше вариантов кузова и опций, что позволяло покупателям выбрать наиболее подходящий вариант для своих потребностей.
В 2018 году было представлено третье поколение Мерседес Спринтер. Оно получило еще больше усовершенствований и нововведений. Автомобиль стал более эффективным в использовании топлива и получил современные технологии безопасности и коммуникации. Кроме того, третье поколение предлагает более широкий выбор опций, чтобы удовлетворить нужды различных бизнес-секторов.
Особенности Мерседес Спринтер:
- Просторное грузовое пространство, которое может быть легко адаптировано для различных целей;
- Различные варианты кузова и опций, чтобы удовлетворить потребности различных бизнес-секторов;
- Надежный и эффективный двигатель, который обеспечивает достаточную мощность и экономичность;
- Современные технологии безопасности и коммуникации, чтобы обеспечить максимальный комфорт и безопасность во время поездки;
- Продуманный дизайн и эргономика, которые делают вождение Мерседес Спринтера приятным и удобным.
Мерседес Спринтер является одним из лидеров в своем классе и пользуется популярностью у предпринимателей и компаний по всему миру. Благодаря своим уникальным особенностям и надежности, этот автомобиль продолжает быть одним из самых популярных выборов для коммерческих перевозок.
Применение Мерседес спринтер и его популярность
Мерседес спринтер – это коммерческий фургон, производимый компанией Mercedes-Benz. Он представляет собой надежное и функциональное транспортное средство, которое широко применяется в различных сферах деятельности. Благодаря своим характеристикам и возможностям, Мерседес спринтер завоевал большую популярность у различных категорий пользователей.
Одним из основных преимуществ Мерседес спринтер является его внушительный грузовой объем. В зависимости от модификации, спринтер может вмещать от 8 до 17 кубических метров груза. Это делает его идеальным выбором для транспортировки товаров и материалов в различных отраслях бизнеса, включая доставку грузов, перевозку пассажиров и т. д.
Применение Мерседес спринтер в различных отраслях
Мерседес спринтер нашел применение во многих отраслях, благодаря своей универсальности и надежности:
- Курьерские службы: спринтер обеспечивает достаточное пространство для транспортировки большого количества посылок и грузов, делая его идеальным выбором для курьерских служб.
- Грузоперевозки: благодаря большому грузовому объему и надежной конструкции, Мерседес спринтер часто используется для перевозки товаров и материалов.
- Пассажирские перевозки: спринтер также предлагает возможность перевозки пассажиров. Модификации с дополнительными рядами сидений могут быть использованы для коммерческого транспорта или в качестве микроавтобуса для перевозки группы людей.
- Строительство: Мерседес спринтер может использоваться для перевозки строительных материалов, инструментов и оборудования, что делает его незаменимым помощником на строительных площадках.
- Туризм: спринтер может быть преобразован в дом на колесах и использоваться для путешествий и кемпинга.
Популярность Мерседес спринтер
Популярность Мерседес спринтер объясняется не только его функциональностью и многообразием применений, но и высоким качеством и надежностью, которые являются характерными чертами всех автомобилей Mercedes-Benz. Бренд Mercedes-Benz известен своими инновационными разработками и высокими стандартами производства, что позволяет доверять и полагаться на их транспортные средства.
Кроме того, Мерседес спринтер предлагает различные опции и модификации, чтобы соответствовать потребностям различных отраслей и бизнес-моделей. Спринтер также имеет репутацию экономичного автомобиля, что делает его привлекательным выбором для предпринимателей и компаний, стремящихся сократить расходы на транспорт.
В итоге, Мерседес спринтер стал популярным выбором для различных отраслей и бизнес-секторов благодаря своим уникальным характеристикам, функциональности и надежности. Он предлагает множество возможностей для перевозки грузов и пассажиров, что делает его незаменимым инструментом для успешного бизнеса.

Коленвал: основные характеристики
Коленвал – это одна из основных деталей двигателя, которая отвечает за преобразование поступательного движения поршней во вращательное движение коленчатого вала. Это важная составляющая, которая обеспечивает работу двигателя и передачу энергии от поршней к приводным механизмам.
Коленвал имеет несколько основных характеристик, которые определяют его эффективность и надежность:
1. Материал
Коленвалы изготавливаются из высокопрочных сталей или сплавов, таких как сталь 40х, 40Х13, 30ХГСА, 35ХМ, 51СрВ4 и других. Материал должен обладать высокой прочностью, устойчивостью к износу и коррозии, а также хорошей теплопроводностью.
2. Конструкция
Коленвал состоит из нескольких основных элементов: шейки, шатуны, губки и коренные шейки. Он должен быть достаточно прочным и жестким, чтобы выдерживать высокие нагрузки и вибрации. Конструкция коленвала может отличаться в зависимости от типа двигателя и его назначения.
3. Балансировка
Балансировка коленвала – это процесс, при котором достигается равномерное распределение массы по всей его длине. Это позволяет снизить вибрацию и повысить плавность работы двигателя. Балансировка выполняется путем удаления излишней массы или добавления дополнительных контргрузов.
4. Точность изготовления
Изготовление коленвала – это сложный технологический процесс, требующий высокой точности и качества. Даже небольшие отклонения размеров или формы могут привести к неисправностям двигателя. Поэтому производители обычно придерживаются строгих стандартов и используют современное оборудование.
Все эти характеристики важны для оптимальной работы коленвала и двигателя в целом. При выборе и эксплуатации коленвала необходимо учитывать требования производителя и следить за его состоянием, регулярно проводя осмотр и техническое обслуживание.
Роль коленвала в работе двигателя
Коленвал — это одна из ключевых деталей двигателя внутреннего сгорания, которая играет важную роль в его работе. Коленвал преобразует вертикальное движение поршней во вращательное движение, которое передается на приводные механизмы и позволяет двигателю выполнять свои функции.
Основная функция коленвала — преобразование линейного движения поршней во вращательное движение. Когда поршень движется вверх и вниз в цилиндре двигателя, под действием силы от взрыва топливной смеси, коленчатый вал передает это движение на приводные механизмы, такие как маховик или генератор, которые работают от вращения.
Коленвал состоит из нескольких основных элементов:
- Шейки коленвала: это часть коленвала, которая соединяется с шатунами поршней. Шейки должны быть достаточно прочными и точно отшлифованными, чтобы обеспечить плавное вращение коленчатого вала.
- Шатуны: соединяют поршни с шейками коленвала и передают движение от поршней на коленвал.
- Губки и прокладки: используются для смазки и герметизации коленвала, чтобы предотвратить проникновение масла и газов внутрь двигателя.
Коленвал является одной из самых нагруженных деталей двигателя, поэтому он должен быть изготовлен из высококачественной стали и пройти строгие испытания на прочность и долговечность. Установка и сборка коленчатого вала требует точности и аккуратности, чтобы гарантировать его правильную работу и предотвратить возможные поломки и повреждения.
Коленвал играет важную роль в работе двигателя, преобразуя линейное движение поршней во вращательное движение, которое передается на приводные механизмы. Он должен быть изготовлен из высококачественных материалов и обеспечивать надежность и долговечность работы двигателя.

Конструкция и материалы коленвала
Коленвал — это ключевой компонент двигателя автомобиля, отвечающий за преобразование линейного движения поршней во вращательное движение. Он состоит из основного вала и шей, на которых установлены гребенчатые шейки, а также отбалансирован для минимизации вибраций и снижения нагрузки на подвеску двигателя.
Конструкция коленвала может различаться в зависимости от типа двигателя и его назначения. Например, в случае Мерседес Спринтер, коленвал представляет собой монолитную стальную конструкцию с прецизионной обработкой поверхностей. Он имеет шесть гребенчатых шеек, соответствующих количеству цилиндров двигателя, и две балансировочные шейки для снижения вибраций.
Материалы коленвала
Для изготовления коленвалов используются различные материалы в зависимости от требований к прочности, весу и стоимости. В случае Мерседес Спринтер, коленвалы обычно изготавливаются из высокопрочной стали, такой как 42CrMo4 или 34CrNiMo6. Эти стали обладают высокой прочностью, устойчивостью к износу и жаропрочностью, что делает их идеальными для работы в условиях высоких температур и нагрузок, с которыми сталкивается двигатель автомобиля.
Кроме основного материала, коленвалы также могут быть подвергнуты термической обработке, такой как закалка и отпуск, для улучшения механических свойств и прочности. Это позволяет увеличить срок службы коленвала и обеспечить его надежную работу в течение длительного времени.
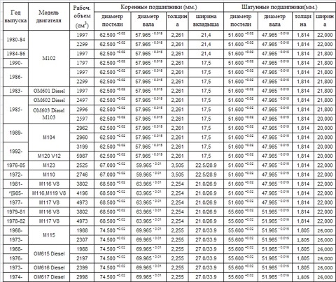
Размеры коленвала Мерседес спринтер
Коленвал — это одна из ключевых деталей двигателя, отвечающая за преобразование линейного движения поршней во вращательное движение. Размеры коленвала имеют важное значение, так как они определяют ход поршня и общую емкость двигателя. Корректный выбор размеров коленвала влияет на эффективность работы двигателя и его мощность.
Стандартные размеры
Мерседес спринтер, как и другие автомобили, имеет различные варианты двигателей и размеров коленвалов в зависимости от модели и года выпуска. Вот некоторые стандартные размеры коленвала Мерседес спринтер:
- Диаметр коленчатого вала: от 75 мм до 85 мм.
- Ход коленчатого вала: от 80 мм до 100 мм.
- Общая емкость двигателя: от 2,1 л до 3,5 л.
Влияние размеров коленвала
Размеры коленвала непосредственно влияют на характеристики двигателя и его производительность. Более крупные размеры коленвала могут увеличить объем двигателя и, как следствие, мощность. Однако, это может привести к увеличению вибраций и неэффективному использованию топлива.
С другой стороны, меньшие размеры коленвала могут уменьшить емкость двигателя и мощность, но при этом обеспечивать более плавное и экономичное вращение. Выбор размеров коленвала зависит от требований к автомобилю, его использования и предпочтений владельца.
Размеры коленвала Мерседес спринтер имеют важное значение для производительности и эффективности двигателя. Корректный выбор размеров коленвала позволяет достичь баланса между мощностью и экономичностью. При выборе размеров коленвала рекомендуется учитывать требования к автомобилю и его использованию, а также консультироваться с профессионалами в данной области.
Чтобы не стучали коленвалы на Mercedes Benz Sprinter 2.1d OM646, OM611
Влияние размеров коленвала на характеристики двигателя
Размеры коленвала являются одним из ключевых параметров, определяющих характеристики двигателя. Коленчатый вал является основным элементом, преобразующим линейное движение поршней во вращательное движение. Его размеры, такие как диаметр и ход, непосредственно влияют на мощность, крутящий момент и общую эффективность двигателя.
Диаметр коленвала
Диаметр коленвала определяет объем двигателя и важен для определения его мощности. Больший диаметр коленчатого вала позволяет увеличить объем цилиндров и, как следствие, повысить мощность двигателя. Однако увеличение диаметра может привести к увеличению массы коленвала и требованиям к более прочной конструкции двигателя.
Ход коленвала
Ход коленвала определяет длину пути, которое поршень проходит в цилиндре. Он влияет на объем цилиндров и крутящий момент двигателя. Большой ход коленвала позволяет увеличить объем цилиндров и повысить крутящий момент, что особенно полезно для тяжелых грузовиков и коммерческих автомобилей. Однако увеличение хода может привести к увеличению вибрации и требованиям к более прочной конструкции двигателя.
Длина шатуна
Длина шатуна также влияет на характеристики двигателя. Более короткий шатун может обеспечить более высокую частоту вращения коленвала, что полезно для спортивных автомобилей и автомобилей, где важна высокая мощность. Более длинный шатун может обеспечить более высокий крутящий момент и плавность хода двигателя, что может быть предпочтительно для коммерческих автомобилей и автомобилей с большой грузоподъемностью.
Таким образом, размеры коленвала являются важными параметрами, которые определяют характеристики двигателя. Больший диаметр коленвала может увеличить мощность, большой ход — крутящий момент, а длинный шатун — обеспечить высокую частоту вращения или плавность хода. При выборе размеров коленвала необходимо учитывать требования к мощности, крутящему моменту и характеру использования автомобиля.
